VMC-1890L
1/1
WE67K一系列电液伺服数控液压板料折弯机
所属分类
钣金加工机床
数量
-
+
描述
性能与特点
★流线型设计,高配置、高精度、高效率的全敛控折弯机设备;电液伺服系统,全闭环控制滑块同步;
★标准为3+1轴一Y1(左缸上下)、Y2(右缸上下)、X(后档料前后)、V(液压式挠度补偿);
★可按用户要求。增加到4+1轴、6+1轴或更多的选配;
★标准数控系统为DELEM DA52,用户可选配DA56、DA65、DA66;
★采用上下双重挠度补偿机构:--机械式上模块速加紧装置,既有快速加紧功能。又有上模块朴偿功能;--液压式上模块速加紧装置,由数控系统自动控制补偿;
★关键液压和电器元件均为国际名牌产品;
★标准直线导轨式可移动后档料挡指;
★随机配备标准上下摸一套;

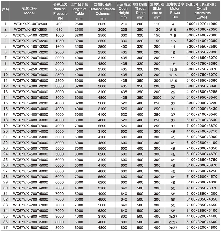
WE67K一系列电液伺服数控液压板料折弯机技术参数

由于产品在不断的改进中.如出现样本技术数据与产品实际数据有不一致处,应遵照双方的技术协议参数。不再另行通知
下一个
折弯机数控系统
信息发送SAUNDERS
WRITE A MESSAGE TO US
产品表单
描述:
服务热线:0517-88297588 0517-88297770
邮箱:info@qzmtt.com samuel@qzmtt.com
地址:中国江苏盱眙县工业园区甘泉路10号
传真:0517-88297587
版权所有 © 2020 乐动在线注册 苏ICP备19034000号-1
0517-88297588
在线留言